In diesem Thread soll medizinische Zahlen und Diagramme gesammelt werden um mögliche Zusammenhänge zwischen Krankheitsbildern und FC zu visualisieren.
Startschuss ist 1978 mit Markteinführung des ersten FC namens Norfloxacin ein paar Jahre später darauf folgte die Einführung des bis heute am häufigsten verschriebenen FC, Ciprofloxacin, weitere folgten, jeder Pharmakonzern wollte sein patentiertes FC. Viele Derivate wurden erst eingeführt jedoch anschließend wegen tödlichen Nebenwirkungen wieder vom Markt genommen, beispielsweise Grepafloxacin sowie Sparfloxacin wegen massiver Kardiotoxizität. Gatifloxacin und Gemifloxacin wegen potenziell tödlichen Nebenwirkungen. Andere wie das FC von Pfizer namens Trovafloxacin wurden wegen zahlreichen Todesfällen in der Testphase gar nicht erst eingeführt.
In dessen Feldstudie in einer Nigerianischen Klinik wurde das neue Medikament an 200 Kindern getestet, 5 starben in Folge der "Nebenwirkungen".
(Vgl. https://en.wikipedia.org/wiki/Trovafloxacin)
(Vgl. https://www.washingtonpost.com/wp-srv/w ... Report.pdf)
Auch bzgl. Ciprofloxacin, Levofloxacin und Moxifloxacin sind tödliche Fälle direkt nach Einnahme bekannt und dokumentiert.
In den letzten Jahren wurde die mitochondriale Toxizität der FC belegt, daraus folgt wenn eine kritische Menge an mitochondrialer DNA der Zellen eines Organs beschädigt wird, stirbt das betroffene Organ wegen oxidativem Stress und ATP-Mangel.
Das Problem ist, dass aufgrund dieser biochemischen Komplexität und der Ignoranz der meisten Ärzte die meisten Pathologien nicht in Verbindung mit Fluorchinolonen gebracht werden. FC sind für viele Ärzte nach wie vor eine heilige Kuh der Pharmazie und es wird auf die angeblich gute Verträglichkeit verwiesen, obwohl das Gegenteil vielfach mittels Studien und der Marktrücknahme vieler FC-Derivate belegt ist. FC sind toxisch und potenziell tödlich.
Diagramme hier entnommen:
viewtopic.php?f=67&p=11801#p11801
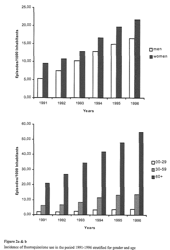
Die Verschreibungsrate von FC nahm seit deren Markteinführung stetig zu.
Die Anzahl der Sehnenrupturen korreliert damit.
Die Diabetes II Fälle korrelieren ebenfalls.
https://floxiehope.com/2014/08/27/fluor ... -diabetes/
Die Aortenaneurismen sind mittlerweile als NW belegt, die Sterbefälle korrelieren mit Markteinführung und Verschreibungszahlen der FC. Das ist wohl der Grund warum insbesondere die Kardiologen mittlerweile vor den FC warnen, die ahnen dass hier ein Zusammenhang mit den steigenden Fallzahlen besteht:
Chronisches Müdigkeitssyndrom:
Das aktive Forum ist geschlossen: Infos HIER
Flyer über die Gefahren von Fluorchinolon-Antibiotika für Patienten, Betroffene,
Ärzte, Apotheker & Therapeuten HIER DOWNLOADEN
Flyer über die Gefahren von Fluorchinolon-Antibiotika für Patienten, Betroffene,
Ärzte, Apotheker & Therapeuten HIER DOWNLOADEN
Statistiken von Pathologien seit FC-Markteinführung
- Krabiwi
- Beiträge: 1490
- Registriert: 16.03.2018, 14:53
Statistiken von Pathologien seit FC-Markteinführung
Übersicht: viewtopic.php?f=35&t=749
„Was bringt den Doktor um sein Brot? (a) die Gesundheit und (b) der Tod. Drum hält der Arzt, auf dass er lebe, uns zwischen beidem in der Schwebe.“ (Eugen Roth)
„Was bringt den Doktor um sein Brot? (a) die Gesundheit und (b) der Tod. Drum hält der Arzt, auf dass er lebe, uns zwischen beidem in der Schwebe.“ (Eugen Roth)
Zurück zu „Erfahrungsaustausch“
Wer ist online?
Mitglieder in diesem Forum: 0 Mitglieder und 1 Gast